在工程塑料的选型中,许多人常常将聚碳酸酯(PC)和聚甲基丙烯酸甲酯(PMMA)置于对比的焦点中。它们虽同属透明高分子材料,但因分子结构与性能本质的深刻差异,决定了二者从日常消费品到尖端科技领域截然不同的应用领域与不可替代性。本篇文章我们一起剖析PC与PMMA的核心性能差异,并看看这些性能差异如何导向特定的工业应用选择。

一、关键性能指标对比
1、PMMA(聚甲基丙烯酸甲酯)
聚甲基丙烯酸甲酯PMMA,俗称亚克力、有机玻璃,是由重复的甲基丙烯酸甲酯单体通过打开C=C双键加成聚合反应而成,其分子式可表示为(C5H8O2)n,其中n为聚合度,通常在分子量在10,000至12,000之间。

PMMA分子结构
·力学性能:从分子结构上看,PMMA的主链由碳-碳单键(-C-C-)构成,理论上允许链段旋转,本身可赋予其一定的柔性,然而,PMMA的侧链分别连接了一个甲基(-CH₃)和一个酯基(-COO-CH₃),它们通过空间位阻效应和强大的分子间作用力(偶极-偶极力),严重限制了主链的旋转和运动,因此极大地限制了分子链的柔顺性,因此,PMMA通常表现为刚性好、强度高、耐磨性能好,抗弯强度一般在100-150MPa范围,抗拉强度通常在70-110MPa之间。不过,这样的分子结构也使得PMMA在受到冲击时,因分子链难以通过运动来耗散能量,应力集中易引发裂纹直接扩展,表现为典型的脆性断裂,冲击强度一般在2-10 kJ/m²。
·光学性能:分子链的规整性会影响聚合物链结晶性,结晶度较高的聚合物通常具有较高的折射率,结晶区域会使光线产生散射,使得透光率也降低,进而影响材料的透光性。PMMA的分子链以无规排列为主,结晶度低,对可见光的散射和内吸收极少,光线可以更均匀地透过,透光率高达92%,雾度通常也不大于2%。
·耐候性与热性能:PMMA分子结构中不含易吸收紫外线的芳香环等生色团,主链由稳定的碳-碳键和碳-氧键组成,能有效抵御紫外线的破坏。长期暴露在户外紫外线下,其透明度和物理性能变化极小,不易出现黄变、脆化或降解现象。而在热性能表现上,PMMA的主链是碳-碳单键,本身具有一定柔性,即使甲基和酯基作为侧链可以“锁住”主链,但侧链末端的甲酯基具有热不稳定性,在高温下酯键极易断裂,使得PMMA主链摆脱了侧链测束缚,最终表现为材料在高温下更难发生变形或软化。通常,PMMA的玻璃化转变温度约为105℃。
·耐化学性:PMMA在日常使用中对常见的酸、碱、油脂等化学物质有较好的耐受性,但在接触有机溶剂(尤其是芳香烃、氯代烃、酮类)时,其酯基侧基易发生反应。
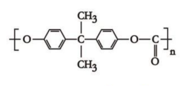
2、PC(聚碳酸酯)
聚碳酸酯是碳酸的聚酯类,工业上常用的PC树脂主要由双酚A(BPA)与碳酸酯基通过聚合反应形成,其中双酚A的结构包含两个苯酚基团通过一个异丙基(-C(CH₃)₂-)连接,其分子式为C₁₅H₁₆O₂,而PC分子整体所构成的重复单元可表示为:[-O-C-O-C₁₅H₁₆O₂-]ₙ,其中n为聚合度,表示分子链中重复单元的数量。

·力学性能:在PC树脂中,双酚A结构的苯环可提供分子链一定程度的刚性和强度,而连接苯环的异丙基以及碳酸酯基则允许一定程度的分子链内旋转和运动,因此在受到冲击时,这种结构使得PC分子链既有强度,又能通过链段的运动、卷曲和相互缠结来吸收和耗散能量,将冲击力分散,从而表现出极高的抗冲击性和断裂韧性,冲击强度可高达60-80 kJ/m²,甚至更高,断裂伸长率则通常在80%-150%之间。不过,分子链相对更易运动的特点,也使得PC树脂的表面抵抗塑性变形的能力相较PMMA弱,因此硬度较低,易被刮伤。
·光学性能:PC树脂同样是非结晶型材料,分子链排列无序,内部结构均匀,光线在材料中传播时不易产生散射或折射差异,能保证光学性能的稳定性和一致性,但其分子链中的苯环是一个大的共轭π键体系,这种结构对特定波长的光(尤其是紫外光和靠近紫外区的蓝紫光)有特征吸收,会轻微地过滤掉一部分蓝紫光,因此其透光率往往略低于PMMA,大约为88%~90%,雾度则在1%~3%。
·耐候性与热性能:PC分子链中含有大量的苯环结构,限制了分子链的内旋转和运动自由度,往往需要更高的温度才能使链段获得足够的能量开始运动,因此,PC的玻璃化转变温度要高于PMMA(Tg~105℃),长期使用温度约-40℃至120℃。然而,PC的碳酸酯键(–O–CO–O–)在紫外光照射下容易发生光解反应,苯环则容易吸收紫外光能量,引发光氧化反应,因此,PC树脂在长期暴露紫外线的情况下,极易引发材料的降解、黄变和力学性能下降。
·耐化学性:PC材料能够耐受无机及有机稀酸等化学物质,但由于碳酸酯键易与强碱发生不可逆的碱性水解反应,使得酯基断裂,生成相应的醇和羧酸盐,从而使PC的分子量降低,力学性能和物理性能急剧下降。此外,PC树脂还易于溶解在含氯的有机溶剂中,而遇到丙酮等酮类溶剂时则会发生应力开裂。
二、性能决定应用
从以上分析可以看出,PC树脂以高韧性、耐热性和抗冲击性为优势,PMMA则以更高透光率、耐刮擦性、抗UV性为特点,这就为两者在工业应用中划出了清晰的界线。
1、PMMA的应用场景
·高性能光学与显示器件:PMMA极高的透光率(92%)和低雾度确保了成像的清晰度和保真度,常用作相机、望远镜、显微镜的透镜,以及各类仪表的表盘盖。作为液晶显示器(LCD)的导光板、扩散板时,PMMA则能实现高亮度、高对比度背光显示。 此外,对于长期户外使用需要极高的耐候性(抗紫外线、不黄变)和透光稳定性的汽车尾灯与信号灯灯罩,PMMA是理想选择,其表面硬度高,不易被风沙刮花,能长久保持光通量。

PMMA液晶导光板、相机镜头(来源:网络)
·建筑与采光:高端采光顶、隔音屏障、温室穹顶等建筑结构需要长期暴露在阳光和恶劣天气下,PMMA出色的耐候性、高透光性以及优于玻璃的重量比,使其成为玻璃的理想替代品。此外对于水族箱、展示橱窗、标牌等高表面要求制品,也能在长期使用过程中呈现更高的美观度。
2、PC的应用场景
PC凭借其无与伦比的韧性、耐热性和工程强度,主要应用于对“动态”冲击、安全性和耐用性要求极高的领域:
·安全防护与抗冲击部件:飞机舷窗、安全面罩、防弹玻璃的复合层是PC材料的经典应用,其极高的冲击强度和断裂韧性,能有效吸收和分散高速冲击的能量,保护人身安全。电动工具外壳、充电桩壳体、服务器机架部等电子电气外壳与零部件,选用PC材料则赋予良好的阻燃性(可达 UL94 V-2 级)、绝缘性、抗冲击性和耐热性。而作为汽车的前大灯灯罩,PC的透光率虽稍逊于PMMA,但其抗石击能力是刚性的PMMA无法企及的,能很好承受行驶中的振动和潜在碰撞冲击。

飞机舷窗、防护面罩(来源:网络)
·耐用消费品与医疗器械:PC本身无毒,且有着透明性、轻质、无味无毒(食品级)以及摔不碎的特性,使其非常适合制造可重复使用的耐用容器。然而,由于PC通常以双酚A为原料,若生产过程中双酚A未完全反应残留于材料中,在高温、强酸碱环境或长期使用时,可能释放双酚A,若用于食品接触领域,为符合标准的PC制品则可能增加健康风险。

PC材质水桶
·高性能透明结构件:。虽然其长期耐候性不如PMMA(需添加UV稳定剂或做表面涂层处理),且表面更易刮花,但当应用场景对抗冲击性(如防冰雹、防人为破坏)有极高要求时,PC板材“砸不碎”的特性则成为了最大优势。
小结
PMMA和PC虽同属透明塑料,但由于分子结构的不同,两者性能以及应用存在一定差异,PMMA的性能由其庞大的极性侧基主导,核心优势是优异的强度、硬度以及光学性。而PC的性能则依靠刚性苯环与柔性碳酸酯键协同作用表现出极高的抗冲击性和断裂韧性。只有从分子层面理解这种差异,才能解释二者现有的应用却别,也更能为材料的改性和未来创新应用提供根本性的科学指引。
粉体圈Corange整理